Ofac emite nueva licencia que permite exportación de diluyentes a Venezuela
:format(webp):quality(40)/https://impactovecdn.eleco.com.ar/media/2022/06/departamento-del-tesoro-de-eeuu-afp_17.jpg)
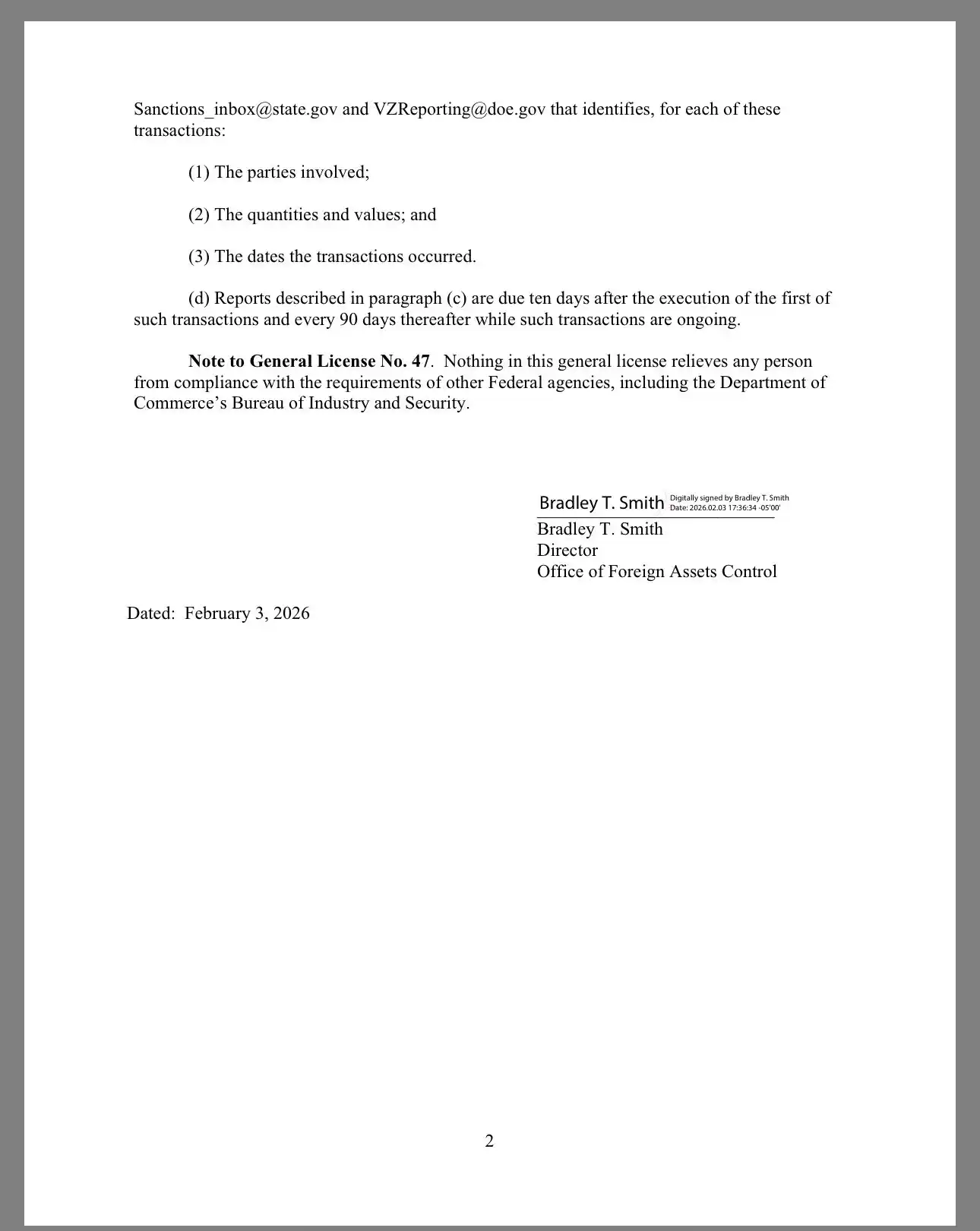
La OFAC, dependencia del Departamento del Tesoro de EE.UU., emitió la Licencia General No. 47, fechada el 3 de febrero de 2026, la cual autoriza operaciones con Venezuela, en lo que tiene que ver con diluyentes para la industria petrolera.
Se trata de una autorización específica dentro del régimen de sanciones que permite realizar ciertas transacciones que normalmente están prohibidas por las sanciones a Venezuela.
Específicamente, permite la exportación, reexportación, venta, suministro, transporte y actividades relacionadas con diluyentes de origen estadounidense hacia Venezuela, incluyendo al Gobierno, a PdVSA o cualquier entidad en la que PdVSA tenga un interés del 50% o más.
«Los diluyentes son sustancias como nafta o condensados ligeros que se mezclan con el crudo extrapesado venezolano para hacerlo transportable y exportable por oleoductos y barcos".
Esta licencia facilita temporal o condicionalmente el suministro de estos productos estadounidenses a Venezuela, algo que solía estar restringido por las sanciones.
¿Qué autoriza exactamente?
• Todas las transacciones “ordinariamente incidentales y necesarias” para la exportación, reexportación, venta, reventa, suministro, almacenamiento, marketing, entrega, transporte, etc., de diluyentes de origen EE.UU. a Venezuela incluyendo al Gobierno o PdVSA
• Incluye explícitamente:
Procesamiento de pagos.
Servicios de logística y envío (charter de buques, seguros marinos, cobertura P&I, Protection & Indemnity)
Servicios portuarios y terminales, incluso con autoridades o operadores del Gobierno de Venezuela.
Condiciones obligatorias para usar licencia
• El contrato debe especificar que se rige por las leyes de EE.UU. o alguna jurisdicción estadounidense y que cualquier disputa se resuelva en EE.UU.
¿Qué NO autoriza?
La licencia no cubre:
1. Términos de pago no comercialmente razonables, trueques de deuda, pagos en oro, o pagos en criptomonedas/digitales emitidas por el Gobierno de Venezuela.
2. Transacciones con personas o entidades de Irán, Corea del Norte, Cuba, o cualquier entidad controlada por ellos (o joint ventures).
3. Desbloqueo de bienes bloqueados por sanciones (excepto lo ya cubierto en a).
4. Transacciones con buques bloqueados.
Obligaciones de reporte
Cualquier persona o empresa que exporte, venda, suministre, etc., diluyentes de EE.UU. a Venezuela bajo esta licencia debe reportar detalladamente a:
• [email protected]
• [email protected]
:format(webp):quality(40)/https://impactovecdn.eleco.com.ar/media/2026/02/a.jpg)
:format(webp):quality(40)/https://impactovecdn.eleco.com.ar/media/2026/02/b.jpg)

Para comentar, debes estar registradoPor favor, inicia sesión