Tesoro de EE.UU. emite licencia que permite labores de personal diplomático de Venezuela
:format(webp):quality(40)/https://impactovecdn.eleco.com.ar/media/2026/03/tesoro.jpg)
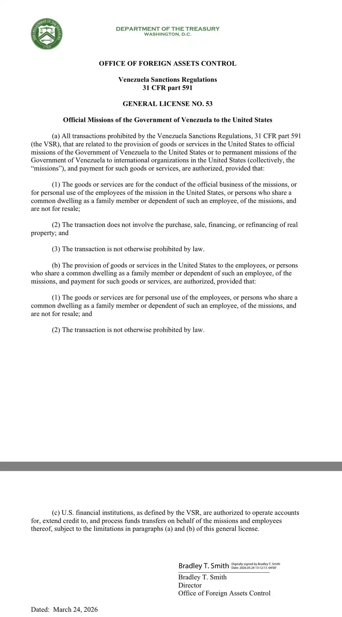
El Departamento del Tesoro de EE.UU., a través de la Ofac, emitió la Licencia General No. 53 este 24 de marzo.
Firmada por Bradley T. Smith, director de la OFAC, la licencia autoriza operaciones y labores del personal diplomático venezolano en ese país.
Esta licencia se aprueba justo cuando la presidenta encargada, Delcy Rodríguez anunció que esta semana viaja a EE.UU. la delegación de diplomáticos desde Venezuela, para la reanudación de relaciones.
Se trata de ciertas transacciones que de otro modo estarían prohibidas por las Regulaciones de Sanciones, específicamente relacionadas con las misiones oficiales del Gobierno de Venezuela en Estados Unidos.
La licencia autoriza la provisión de bienes o servicios a las misiones oficiales y todas las transacciones prohibidas por las sanciones que involucren la provisión de bienes o servicios en EE.UU. a:
• Misiones oficiales del Gobierno de Venezuela en EE.UU.
• Misiones permanentes de Venezuela ante organizaciones internacionales en EE.UU.
Condiciones
1. Los bienes o servicios deben destinarse al funcionamiento oficial de la misión, o al uso personal de los empleados de la misión (o sus familiares/dependientes que compartan vivienda), y no para reventa.
2. La transacción no puede involucrar compra, venta, financiamiento o refinanciamiento de bienes raíces.
3. La transacción no debe estar prohibida por otras leyes.
También implica provisión de bienes o servicios a empleados y sus familias.
Con esta licencia las instituciones financieras estadounidenses pueden:
• Operar cuentas
• Extender crédito
• Procesar transferencias de fondos en nombre de las misiones y sus empleados.
Esta licencia es una medida técnica y humanitaria, diplomática estándar que permite que representaciones diplomáticas de Venezuela en EE.UU. funcionen con normalidad básica, con funciones como el pago de alquiler de oficinas, servicios públicos, suministros, salarios de personal, compras personales de empleados, sin violar las sanciones generales que bloquean la mayoría de las transacciones con el Gobierno de Venezuela.
La norma no autoriza:
• Actividades comerciales generales.
• Operaciones con PDVSA u otras entidades bloqueadas más allá de las misiones diplomáticas.
• Compra/venta de propiedades.
• Nada que vaya más allá del uso oficial o personal estrictamente definido.
:format(webp):quality(40)/https://impactovecdn.eleco.com.ar/media/2026/03/lic.jpg)

Para comentar, debes estar registradoPor favor, inicia sesión